Exemples de vérification des éléments de structure en situation d’incendie #2 – Elément tendu
Cette fiche est un exemple de vérification des diagonales de contreventement sollicitées en traction en situation d’incendie. Il s’agit de la deuxième fiche d’une série de six, consacrées à la vérification des différents éléments constituant la charpente métallique d’un immeuble de bureaux multi-étagé en situation d’incendie. Cette série est composée des fiches listées ci-dessous :
- #1 – Données de l’exemple traité ;
- #2 – Elément tendu ;
- #3 – Elément fléchi sans déversement ;
- #4 – Elément fléchi sujet au déversement ;
- #5 – Elément comprimé sujet au flambement ;
- #6 – Elément fléchi comprimé sujet aux instabilités.
Un contreventement de type croix de Saint-André est utilisé pour assurer la stabilité du bâtiment. Chaque croix comprend deux diagonales disposées dans une même palée de stabilité à chaque niveau : l’une travaille en compression, l’autre en traction. Les diagonales sont constituées de cornières de type L100×100×10, en acier S275, attachées par une seule rangée de deux boulons de diamètre 16 mm. La contribution des diagonales comprimées est négligée. C’est une hypothèse courante qui place du côté de la sécurité.
La vérification d’un élément de structure en situation d’incendie peut être réalisée soit selon le critère de résistance, soit selon le critère de température. Dans cet exemple, la vérification de la diagonale est vérifiée selon le critère de résistance, en comparant sa sollicitation à sa résistance mécanique.
Sollicitation en situation d’incendie
Les diagonales de contreventement sont sollicitées en traction, sous l’effet du vent longitudinal ou transversal agissant sur le bâtiment. Il convient de noter que, dans le cadre de la vérification en situation d’incendie, seuls 20 % de l’action du vent sont pris en compte dans la combinaison par l’intermédiaire du coefficient y1 [1].

Conformément à la clause 5.2 de la norme NF EN 1991-1-4 [2], l’effort du vent agissant dans la direction transversale Fb,w,trans ou longitudinale Fb,w,long, peut être calculé à l’aide de la formule suivante :

Où :
- CsCd est le coefficient structural. Conformément à la clause 6.2 (1) c) de la norme NF EN 1991-1-4, pour les bâtiments en charpente comportant des cloisons, d’une hauteur inférieure à 100 m et dont ladite hauteur est inférieure à 4 fois la largeur mesurée dans la direction du vent, la valeur de CsCd est prise égale à 1 ;
- qp(h) est la pression dynamique de pointe à la hauteur maximale du bâtiment et est égale à 0,7 kN/m2 ;
- Aref est la surface de prise au vent, et elle est dépendante de la direction du vent ;
- Cpe,10(D) et Cpe,10(E) sont les coefficients de pression de la face au vent et de la face sous le vent, respectivement.
Dans cet exemple, les forces de frottement du vent sur les surfaces extérieures (parois verticales et toiture) sont négligées.
La surface de prise au vent et les coefficients de pression sont donnés dans la Figure 2. L’action du vent est plus importante dans la direction transversale du bâtiment. L’effort dû au vent transversal appliqué sur un niveau courant est le suivant :


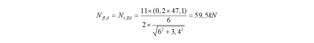
Ainsi, en situation d’incendie, l’effort de traction de la diagonale inférieure du contreventement résultant des effets du vent est :

Résistance de la diagonale en situation d’incendie
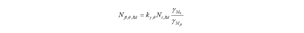
Pour un élément tendu, la résistance de calcul peut être déterminé à partir de la formule suivante [3] :

- ky,q est le facteur de réduction de la limite d’élasticité de l’acier à la température q, il est déterminé selon le tableau 3.1 de la norme NF EN 1993-1-2 [4] ;
- Nt,Rd est la résistance de calcul à la traction de la section pour le calcul à température normale selon la norme NF EN 1993-1-1 et son Annexe Nationale [5] ;
- gM0 est le coefficient partiel pour la résistance des sections transversales à température normale ;
- gM,fiest le coefficient partiel pour l’acier en situation d’incendie. Pour rappel, sa valeur est fixée à 1,0 dans l’Annexe Nationale française de la norme NF EN 1993-1-2 [4].
Calcul de l’échauffement de la cornière
L’échauffement de la cornière pour une durée d’exposition au feu de 60 minutes peut être déterminé à l’aide des valeurs précalculées dans le tableau 2 de la fiche relative à l’échauffement des éléments acier [6] en fonction du facteur de massiveté enveloppe [Am/V]b.

Pour une cornière exposée au feu sur trois faces, la valeur du facteur de massiveté est de 182 m– 1. L’échauffement atteint à 60 minutes sur cet élément de structure est de 941°C. Le facteur de réduction de la limite d’élasticité ky,q correspondant à cette température est de 0,051.
Calcul la résistance de la cornière à la température normale
Il convient de rappeler que le calcul de la classe de section n’est pas nécessaire pour un élément tendu en raison de l’absence de voilement local.
Selon le paragraphe §6.2.3 de la norme NF EN 1993-1-1 [5], la résistance à la traction d’une cornière comportant des trous est égale à la plus petite des deux valeurs suivantes : la résistance plastique de la section transversale brute et la résistance ultime de la section transversale nette.

Il est à rappeler que la ruine de la section nette au niveau des trous de fixation n’est pas prise en compte dans la vérification de résistance en situation d’incendie à condition qu’il existe un élément de fixation dans chaque trou. En effet, la température de l’acier est plus faible au droit des assemblages en raison de la présence d’une quantité de matière supplémentaire ; la résistance en situation d’incendie est donc plus élevée dans cette zone.
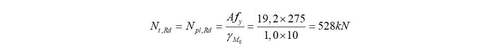
Ainsi, la résistance à la traction de la cornière à la température normale est :

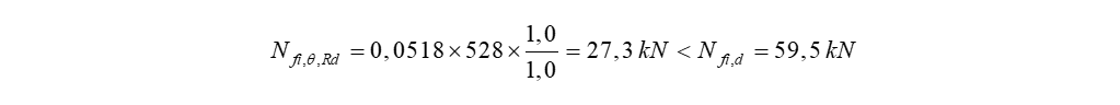
La résistance de calcul de la cornière tendue en situation d’incendie est donc :

Conclusion
La résistance à la traction de la cornière en situation d’incendie est égale à 27,3 kN, ce qui est inférieur à sa sollicitation en situation d’incendie (59,5 kN). Pour remplir le critère de résistance au feu demandé (R60), il est donc nécessaire de protéger les diagonales contre l’incendie.
L’épaisseur de protection à mettre en place dépend du type de protection. Elle peut être déterminée en se basant sur la méthode présentée dans l’article relatif à l’épaisseur de protection incendie [7].
Références
[1] Métalétech – Combinaisons d’actions en situation d’incendie : exemples.
[2] NF EN 1991-1-4 : Eurocode 1 – Actions sur les structures. Partie 1-4 : Actions générales – Actions du vent. AFNOR. Novembre 2005.
[3] Métalétech – Résistance de calcul à température élevée des éléments métalliques #2 – Eléments tendus ou axialement comprimés sans risque d’instabilité.
[4] NF EN 1993-1-2 : Eurocode 3 – Calcul des structures en acier. Partie 1-2 : Règles générales – Calcul du comportement au feu. AFNOR. Novembre 2005.
[5] NF EN 1993-1-1 : Eurocode 3 – Calcul des structures en acier. Partie 1-1 : Règles générales – Calcul du comportement au feu. AFNOR. Novembre 2005.
[6] Métalétech – Échauffement des éléments acier.
[7] Métalétech – Épaisseur de protection incendie.
Lynita Sarou, ingénieure recherche, CTICM