Exemples de vérification des éléments de structure en situation d’incendie #3 – Élément fléchi sans déversement
Cet article est un exemple de vérification des éléments fléchis sans déversement en situation d’incendie. Il s’agit de la troisième fiche d’une série de six, consacrée à la vérification des différents éléments la charpente métallique constituant un immeuble de bureaux multi-étagé en en situation d’incendie. Cette série est composée des fiches listées ci-dessous :
- #1 – Données de l’exemple traité ;
- #2 – Élément tendu ;
- #3 – Élément fléchi sans déversement ;
- #4 – Élément fléchi sujet au déversement ;
- #5 – Élément comprimé sujet au flambement ;
- #6 – Élément fléchi comprimé sujet aux instabilités.
Cet exemple concerne les solives situées au droit de l’appui central de la dalle, continues sur trois appuis. Elles sont liaisonnées à la dalle à l’aide de goujons connecteurs, ce qui empêche leur déplacement hors plan. Chaque solive est considérée comme non mixte ; par conséquent, seul le profilé métallique est pris en compte dans cette vérification.
La vérification d’un élément de structure en situation d’incendie peut être réalisée soit dans le domaine de résistance, soit dans celui des températures. Les deux méthodes conduisent à des résultats peu différents. Dans le présent exemple, la vérification d’une solive est effectuée dans le domaine de la température, en comparant son échauffement à sa température critique. Cette dernière peut être déterminée en fonction du taux d’utilisation de l’élément de structure en situation d’incendie.
La solive étudiée est de classe 1 (voir ci-après), continue sur trois appuis et ne présente aucun risque d’instabilité. De ce fait, la charge ultime de l’élément en situation d’incendie est déterminée à l’aide d’une analyse plastique. Le taux d’utilisation correspond au rapport entre la charge appliquée en situation d’incendie et la charge ultime obtenue par l’analyse plastique à 20°C.
Charge appliquée en situation d’incendie
Les charges appliquées sur cette solive proviennent principalement de la dalle située au-dessus. La solive se situant sous l’appui central de la dalle (voir Figure 1), la charge qui lui est appliquée en situation d’incendie est donnée ci-dessous. Le coefficient 5/4 correspond au coefficient de continuité d’une dalle reposant sur trois appuis.

- Gs est le poids propre de la solive : 0,56 kN/m ;
- Gk est la charge permanente totale sur la dalle : 3,62 kN/m2 ;
- Qk est la charge d’exploitation sur la dalle : 4,0 kN/m2.
Donc :


Charge ultime de l’élément de structure en situation d’incendie
Classification de l’élément de structure en situation d’incendie
La section d’un élément fléchi peut être soumise à des phénomènes de voilement. Il est donc nécessaire de déterminer la classe de la section avant de calculer sa résistance. En situation d’incendie, la classification de la section peut être réalisée selon les mêmes principes qu’à température normale, en tenant compte d’une valeur réduite de e.
La classe de la semelle et celle de l’âme sont déterminées séparément. Pour une solive sollicitée en flexion, l’une des semelles est uniformément comprimée, tandis que l’âme est simplement fléchie. La classe de la section transversale correspond à la plus élevée des deux, c’est-à-dire la moins favorable.
Les dimensions du profilé en IPE 360 sont les suivantes :
h = 360 mm ; b = 170 mm ; tf = 12,7 mm ; tw = 8 mm ; r = 18 mm ; d = 298,6 mm

Conformément à la relation 4.2 de la norme NF EN 1993-1-2 [1], la valeur réduite de e pour les aciers de nuance S275 est :

Selon le tableau 5.2 de la norme NF EN 1993-1-1 [2], la classification de la semelle et de l’âme se fait de la manière suivante :
- Classification de la semelle comprimée

- Classification de l’âme fléchie

La section en IPE 360 en S275 est en classe 1 en flexion simple.
Il convient de rappeler que, pour une section de classe 1 ne présentant pas de risque d’instabilité, la capacité portante à la température élevée peut être déterminée à partir d’une analyse plastique de l’élément [3]. Elle est donc supérieure à celle obtenue par le calcul de la résistance en section.
Résistance de la section à la température normale
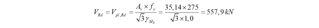
La capacité portante d’une solive sollicitée en flexion dépend de son moment résistant et de sa résistance à l’effort tranchant. Ces résistances peuvent être déterminées respectivement selon les paragraphes 6.2.5 et 6.2.6 de la norme NF EN 1993-1-1 [2].
- Résistance à l’effort tranchant :

- Moment résistant :

Capacité portante de la section calculée selon l’analyse plastique
Pour qu’une poutre continue sur trois appuis atteigne son mécanisme plastique, la formation de trois rotules plastiques est nécessaire : une au niveau de l’appui central, et deux autres à l’intérieur des deux travées.

Dans le cas où les deux travées sont égales, la capacité portante de la poutre peut être simplifiée comme suit :

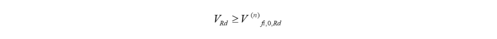
Toutefois, un autre critère doit être satisfait pour que la capacité portante mentionnée ci-dessus puisse être atteinte : celui-ci est lié à l’effort tranchant. La vérification de ce critère consiste à comparer la résistance à l’effort tranchant avec l’effort tranchant appliqué, déduit de la capacité portante ultime déterminée à partir du moment résistant :

Et

Selon la relation 4.10 de la norme NF EN 1993-1-2 [1], le moment résistant en situation d’incendie de la solive peut être calculé en considérant l’influence des facteurs d’adaptation de moment résistant (k1 etk2)

k1 est le facteur d’adaptation tenant compte de la répartition non uniforme de la température dans la section. La solive est exposée au feu sur ses quatre faces, la valeur de k1 est égale à 1.
k2 est le facteur d’adaptation qui prend en compte la répartition non uniforme de la température le long de la poutre. Sa valeur est fixée à 0,85 pour le calcul du moment résistant aux appuis d’une poutre hyperstatique, et à 1 dans les autres cas.
D’après l’analyse plastique, on peut obtenir :

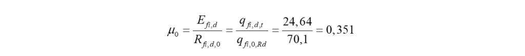
Taux d’utilisation en situation d’incendie et température critique de la solive
Pour un élément fléchi sans risque de déversement, la température critique peut être déterminée pour un taux d’utilisation quelconque m0 au moyen de l’expression donnée au paragraphe §4.2.4 de la norme NF EN 1993-1-2 [1] :

Avec :


Calcul de l’échauffement de la solive
L’échauffement de la solive pour une durée d’exposition au feu demandée de 60 min (R60) peut être déterminé à l’aide des valeurs précalculées dans le tableau 2 de l’article relatif à l’échauffement des éléments acier, en fonction de la valeur du facteur de massivité enveloppe [Am/V]b.

Pour la solive en IPE 360 exposée au feu sur ses quatre faces, la valeur du facteur de massivité enveloppe est de 151 m-1. L’échauffement atteint à 60 minutes sur cet élément est de 940°C.
Note La solive est considérée comme exposée sur ses quatre faces car avec un bac acier COFRAPLUS60 moins de 85% de la face supérieure du profilé en acier est directement recouverte par le bac (clause 4.1 (16) de la norme NF EN 1994-1-2 [4]).
Conclusion
La température critique de la solive est de 639°C, ce qui est inférieur à l’échauffement atteint (940°C). La solive ne satisfait donc pas, en l’état, aux exigences de résistance au feu demandés (R60). Plusieurs solutions peuvent être envisagées : appliquer une protection incendie, prendre en compte la mixité de la solive, ou adopter la conception FRACOF.
La première solution consiste à protéger la solive à l’aide d’un matériau isolant. L’épaisseur de protection à mettre en place dépend du type de protection utilisée et peut être déterminée en se basant sur la méthode présentée dans l’article relatif à l’épaisseur de protection incendie.
La deuxième solution repose sur la prise en compte de la mixité acier-béton, qui permet d’augmenter la résistance au feu de la solive, et donc sa température critique. Une fiche détaillant la méthode de vérification des poutres mixtes en situation d’incendie sera prochainement publiée.
Enfin, la dernière solution consiste à adopter la conception de FRACOF (voir construire en acier sans protection incendie : le concept FRACOF).
Références
[1] NF EN 1993-1-2 : Eurocode 3 – Calcul des structures en acier. Partie 1-2 : Règles générales – Calcul du comportement au feu. AFNOR. Novembre 2005.
[2] NF EN 1993-1-1 : Eurocode 3 – Calcul des structures en acier. Partie 1-1 : Règles générales – Calcul du comportement au feu. AFNOR. Novembre 2005.
[3] JRC Science and policy reports: Eurocodes – Background & applications structural fire design. 2014.
[4] NF EN 1994-1-2 : Eurocode 4 – Calcul des structures mixtes acier-béton. Partie 1-2 : Règles générales – Calcul du comportement au feu. AFNOR. Février 2006.
[4] Métalétech – Échauffement des éléments acier.
[6] Métalétech – Épaisseur de protection incendie.
[7] Métalétech – Construire en acier sans protection incendie : le concept FRACOF.
Lynita Sarou, ingénieure recherche, CTICM